2025 Volume 5 Issue 2
Creative Commons License

Managing Safety in Teaching Clinical Skills: Investigating Framing Errors in Cardiopulmonary Resuscitation Training through a Multi-Arm Randomized Controlled Equivalence Study


, , , , , ,
  1. RISE-Health, Community Medicine, Information and Decision Sciences Department (MEDCIDS), Faculty of Medicine, University of Porto (FMUP), Porto, Portugal.
  2. Center for Research and Development in Mathematics and Applications (CIDMA), Department of Mathematics (DMAT), University of Aveiro, Portugal.
  3. RISE-Health, Faculty of Medicine, University of Porto, Porto, Portugal.
  4. Institut für Notfallmedizin und Medizinmanagement (INM), LMU Klinikum, LMU München, München, Germany.
  5. Arcada University of Applied Sciences, School of Business and Healthcare, Helsinki, Finland.
  6. Community Medicine, Information and Decision Sciences Department (MEDCIDS), Faculty of Medicine, University of Porto (FMUP), Porto, Portugal.
Abstract

Cardiopulmonary resuscitation (CPR) is a critical skill in clinical settings, where mistakes can occur and potentially have serious consequences. Common approaches to handling errors include error management (EM) and error avoidance (EA), but their impact on medical performance outcomes is not fully understood. This study examined the effect of framing errors on the outcomes of basic life support (BLS) training for healthcare students. In an equivalence trial with 430 first-year students from medicine, dentistry, physiotherapy, and midwifery, participants completed BLS training. They were assigned to one of three groups: (1) instructions encouraging a positive view of mistakes (EM), (2) instructions emphasizing error prevention (EA), or (3) no specific guidance (Control). CPR performance was evaluated using a manikin measuring compression depth (CD) and compression rate (CR), while self-confidence was assessed via questionnaire. Equivalence margins and sample size were determined based on prior BLS studies, using two-sided 95% confidence intervals to evaluate equivalence. For compression depth, the results indicated equivalence across groups, with a tendency for EM to outperform both EA (a 23.3% point difference; 95% CI = 11.4%–34.2%) and the control (a 23.4% point difference; 95% CI = 11.5%–34.2%). EA and control showed significant equivalence (0.1%-point difference; 95% CI = 11.6%–11.7%). All groups demonstrated equivalence regarding compression rate and self-confidence. Error management did not impair CPR performance. Considering evidence of EM’s long-term benefits for patient safety and its equivalence to EA in short-term outcomes, EM emerges as a promising strategy for medical education. Incorporating error-framing awareness and training in error-handling strategies may enhance safety management in healthcare training and practice. Framing errors positively in CPR training shows promise for improving medical education and supporting safety management in healthcare.


Keywords: CPR training, Error culture, Error management, Safety management, Resuscitation

Introduction

Medical errors are a central concern for patient safety [1]. Over the past decades, extensive efforts have focused on safety management and the role of errors in improving patient outcomes [1–5]. For instance, Donchin et al. [4] investigated human errors in the ICU using a human factors engineering approach. Their findings suggest that strategies grounded in human factors principles can reduce error rates in intensive care settings, thereby enhancing patient safety.

Safety management encompasses the prevention of undesirable events, such as accidents or incidents, and involves regulatory or control mechanisms [6]. It is closely linked to an organization’s safety culture and incorporates both organizational and behavioral components of systems and processes [7, 8]. Despite the importance of medical error culture, medical students and trainees are often overlooked, even though they represent a key group for instilling a culture of error awareness across an organization [9, 10]. In Germany alone, approximately 10,000 medical students graduate annually and enter the healthcare system, highlighting the importance of targeting this population [11]. Moreover, recent research indicates that German hospitals still have room for improvement in fostering a robust error culture [12]. Therefore, integrating error-focused education early in medical training could significantly strengthen organizational safety culture.

This study examines two common approaches to handling errors in professional practice. First, error avoidance (EA) emphasizes minimizing errors whenever possible [13]. Within the EA framework, errors are often viewed as unnecessary for learning [14]. Given the potentially severe and even life-threatening consequences of medical errors, the healthcare system naturally prioritizes error reduction to protect patient safety [1, 15, 16]. Second, error management (EM) encourages a constructive view of errors, promoting them as learning opportunities while actively supporting learners to engage with mistakes [14, 17]. From the EM perspective, errors contribute to personal learning and can enhance skill acquisition [14, 17]. While errors may cause temporary frustration, they frequently provide valuable insights that help individuals handle similar challenges in the future [18]. EM, therefore, focuses on mitigating adverse outcomes of errors rather than eliminating errors themselves [13, 19]. EM has been shown to foster organizational learning, innovation, and psychological safety by enabling team members to communicate errors openly and effectively [3, 20, 21].

The observed advantages of EM compared with EA can be framed within a theoretical context [22], which serves as the foundation for this study. Our framework draws on motivation theory, specifically John W. Atkinson’s choice under risk model [23], a key theory addressing the need for achievement. According to this model, the need for achievement has two components: the drive to succeed and the drive to avoid failure. In addition to individual traits, these components are shaped by task characteristics such as difficulty and the perceived value of success or failure. The interplay between these factors influences behavior in achievement situations, determining whether an individual approaches a task with optimism or retreats in fear.

Regarding task framing—the focus of our intervention—additional insight comes from goal framing theory [24], which emphasizes the role of social context in shaping motivation. In other words, a person’s behavior in a given situation is affected by the ‘mindset’ activated at the moment. In this study, the EM or EA instruction was used to shape this mindset. Based on this framework, we hypothesized that EM framing would enhance motivation to achieve, whereas EA framing would increase motivation to avoid failure.

Performance outcomes of error avoidance (EA) and error management (EM) strategies have been explored in various contexts, such as software training [5, 17, 18, 25–27]. However, research on these approaches within medical practice is limited [14, 28], and existing results are often inconsistent [29]. In particular, it remains unclear whether EM-guided training might increase the frequency of performance errors; in other words, it still needs to be demonstrated that EM does not negatively affect learning outcomes. Establishing such equivalence could also reassure practitioners who are cautious about adopting EM due to concerns that learners might internalize incorrect knowledge or develop unsafe patient-handling habits [10, 30]. Medical simulation provides an ideal setting for this investigation, as error-handling strategies can be safely practiced without endangering patient safety [31].

To address this gap in the medical domain, we conducted a study examining the training of medical students in emergency skills. Sudden cardiac arrest is among the leading causes of death worldwide [32, 33], and basic life support (BLS) represents the critical first-line response. Mastery of cardiopulmonary resuscitation (CPR) is a fundamental clinical competency, vital for ensuring patient safety. Because the quality of CPR directly affects survival outcomes, it is arguably one of the most essential practical skills in clinical training [34]. However, frequent errors during CPR can significantly reduce patient survival rates [35–37]. Common performance mistakes include compressions that are too shallow or performed at an incorrect rate [38]. While prior research has examined approaches to teaching high-quality CPR, focusing on feedback methods and training designs [39–42], the influence of different error-framing strategies on CPR skill acquisition remains underexplored.

As previously discussed, EM offers several advantages over EA in terms of long-term benefits for psychological safety and organizational error culture. Nevertheless, its impact on short-term performance has not been fully established. In this study, we evaluated the CPR performance of undergraduate medical students following training with either EM or EA instructions. Our primary goal was to determine whether EM-guided training yields performance outcomes comparable to those of EA-guided training.

Materials and Methods

Trial registration

The study was officially registered under the identifier DRKS00029981 at https://www.drks.de.

Ethics

Approval for the study was obtained from the Institutional Ethics Review Board of the University Hospital, RWTH Aachen University (document EK-22-290) on Sept 8, 2022, in compliance with the ethical standards outlined in the Declaration of Helsinki [43] by the World Medical Association.

Study design

This investigation was structured as a multi-arm, parallel-group randomized controlled trial, comprising three distinct experimental conditions: (1) basic life support (BLS) training with explicit error management (EM) instructions, (2) BLS training guided by error avoidance (EA) instructions, and (3) standard BLS training without additional error-focused instructions (control group) (Figure 1). The study followed both the CONSORT guidelines for multi-arm parallel-group randomized trials and the CONSORT standards for equivalence trials [44–46].

 

 

Figure 1. Flow chart of study design

 

 

We opted for an equivalence trial rather than a superiority trial for several reasons. Error management (EM) has been shown to enhance learning behaviors, facilitate organizational learning, and mitigate the negative consequences of mistakes. It also fosters psychological safety and encourages open communication within teams [3, 20, 21]. Such behaviors are linked to higher rates of error reporting, which in turn can improve patient safety among nurses [47]. However, while EM’s advantages are well-established in clinical practice, it remains unclear whether EM and error avoidance (EA) yield equivalent outcomes in medical education. Potential risks, including learners adopting incorrect knowledge and ethical concerns, warrant careful evaluation. Equivalence trials are designed to assess whether two interventions produce comparable effects on a targeted outcome [48]. The primary goal of this study was to determine if EM and EA produce similar results in CPR performance. These trial designs are beneficial in pragmatic or applied clinical research [49], especially when one intervention (here, EM) has recognized benefits. Still, the interest lies in confirming that it performs no worse than the alternative regarding a key outcome (in this case, performance during training). By evaluating these effects, we aim to inform discussions on the effective integration of EM into medical education and its broader influence on cultivating a positive error culture and enhancing patient safety.

Participants

The study enrolled first-year undergraduate students from medicine, dentistry, physiotherapy, and midwifery programs. Data collection occurred during a mandatory introductory emergency medicine course between October 12th and 27th, 2022. All participants provided written informed consent. No exclusion criteria were applied to maintain high ecological validity.

Sample size determination

Sample size calculations for equivalence testing followed the method described by Blackwelder [50], using the Sealed Envelope power calculator [51]. Assuming an α level of 0.05, 80% power, and an expected success rate of 46% based on prior institutional data, the required sample size was 230 participants (115 per group) for each two-group comparison. These targets were achieved across all study comparisons.

Randomization

Participants were assigned to study conditions (EM, EA, or control) in clusters of 12 using the Research Randomizer tool (https://www.randomizer.org/). Each session was conducted in a designated training room, and participants were placed in the rooms according to the randomization schedule. No cross-allocation or switching between groups occurred during the study.

Intervention

All participants underwent interprofessional BLS training following the Peyton 4-step teaching model [52]. In the first phase (demonstration), the tutor performed BLS at a normal pace without commentary. During the second phase (deconstruction), the tutor repeated the procedure, explaining each critical component of the BLS steps. In the third phase (comprehension), participants took an active role by instructing the tutor on the correct performance of BLS, with the tutor intervening only when prompted. In the final phase (performance), participants independently executed BLS on a ResusciAnne™ manikin while receiving guidance and feedback from a trained tutor. The manikin, a standard resuscitation training model, features a torso, head, and limbs, providing realistic resistance for chest compressions, with an audible click signaling correct compression depth.

Additionally, participants used a feedback device displaying real-time compression rate, depth, and full chest release. Steps 1–3 were conducted in a plenary session of 36 participants in a lecture hall. At the same time, the performance phase involved three smaller groups (EM, EA, control) of 12 participants, each assigned to an individual training room according to randomization.

Before the performance phase, the intervention groups (EM and EA) received standardized error-handling instructions via a purpose-designed video. Key points were reinforced with posters displayed in the training rooms (Supplementary Material). The content, informed by literature and adapted for the BLS context [5, 18, 25–27, 53], differed between groups: the EM group was taught to view errors as positive and integral to learning (e.g., “Errors are expected while learning the resuscitation algorithm and are an essential part of mastering the skills”), whereas the EA group was instructed to minimize errors proactively (e.g., “Try to avoid mistakes during training; think ahead about how to prevent them”). The control group proceeded directly to the Performance phase without additional error-focused instructions.

Primary outcome: CPR skill assessment

The primary outcome was participants’ CPR performance, evaluated immediately before (t0) and one week after (t1) training using the ResusciAnne™ manikin (Laerdal, Stavanger, Norway). During the assessment, no feedback device or audible click was provided. Participants received standardized instructions to perform resuscitation based on prior knowledge (t0) or newly acquired skills (t1). Tutors followed strict guidelines to avoid providing feedback beyond the initial instruction: “Please imagine that you see an unconscious person lying on the ground and come to help. Pretend that I am not there.” The scenario ended two minutes after the first chest compression to ensure uniform compression times across participants. CPR performance metrics included compression depth (CD) and compression rate (CR), which were recorded using the Laerdal PC Skill Reporting System Software (Version 2.4.1). According to AHA guidelines, CD was considered correct if it averaged 50–59 compressions per minute, and CR was considered correct if it averaged 100–120 compressions per minute [54].

Secondary outcome: Subjective self-assessment

Participants completed an online questionnaire both before and after the BLS training. The survey collected demographic information and assessed self-reported confidence in performing CPR and managing emergencies. Responses were recorded on a 6-point Likert scale ranging from 1 (“strongly disagree”) to 6 (“strongly agree”).

Statistical analysis

All data analyses were performed using IBM SPSS Statistics version 28 (IBM Corp., Armonk, NY, USA). Equivalence testing has recently been highlighted in the literature as a suitable method for comparing different educational strategies [49]. Accordingly, equivalence was evaluated by comparing the proportion of participants achieving correct compression depth (CD) and compression rate (CR) across the three study groups. Two-sided 95% confidence intervals (CIs) were calculated following CONSORT guidelines for equivalence trials [45]. Results were considered significant when the empirical percentage differences’ 95% CIs did not overlap with the predefined equivalence margins. CIs for differences in proportions were estimated using the Wilson score interval method for independent samples [55]. The same approach was applied to 95% CIs of differences in Likert-scale confidence ratings between groups.

Equivalence margins

Equivalence thresholds were determined based on historical data from prior training sessions at our center [56–58]. Observed success rates for CPR following Peyton’s 4-step BLS instruction among novices ranged from 45% to 64% for CD and 33% to 52% for CR, covering a 19-percentage-point span. Any performance outcomes within these ranges for a different training method were considered equivalent. Therefore, the equivalence margins for comparing EM, EA, and control groups were set at Δ = 19% and −Δ = −19% for both CD and CR. Due to the limited prior data on confidence ratings, a difference of ±0.5 points on the 6-point Likert scale (approximately 8%) was designated as the equivalence margin.

Results

Sample characteristics

Data were collected from a total of 430 participants. Three participants were excluded due to missing group allocation, incorrect entries, or non-participation, resulting in a final sample of 427 individuals (70.7% female, 28.8% male, 0.5% diverse; mean age 20.7 ± 3.5 years). Partially completed datasets were retained for analysis. A chi-squared (χ²) test of independence confirmed that randomization was successful, as no significant demographic differences were observed among the study groups (Table 1).

 

 

Table 1. Demographics of the study sample and randomization check.

 

Control

Error management

Error avoidance

X2

P

Sex (%)

Female

67.6

72.3

72.4

1.93

.75

Male

31.7

27.0

27.6

Diverse

0.7

0.7

Age (years, mean ± SD)

20.7 ± 3.9

20.7 ± 3.7

20.8 ± 3.0

27.09

.94

Study program (%)

Medicine

71.1

67.9

67.9

1.44

.96

Dentistry

14.8

16.1

15.7

Physiotherapy

7.0

5.8

6.0

Midwifery

7.0

10.2

10.4

No previous medical qualification (%)

66.2

65.0

58.3

9.37

.90

Participation in an emergency coursea (%)

16.3

17.5

15.9

4.65

.91

Notes: M = mean; SD = standard deviation; a = participation in an emergency course within the previous year.

 

Descriptive data

Table 2 presents the participants’ performance outcomes and self-reported confidence levels before and after training for each of the three study groups.

 

 

Table 2. Descriptive performance, target achievement, and subjective confidence measures before (t0) and after (t1) the BLS training.

 

Control

Error management

Error avoidance

t0

Md

IQR

NOR

Md

IQR

NOR

Md

IQR

NOR

Ø CD (mm)

46.5

16

48

52.0

16

38

45.0

14

45

Ø CR (1/min)

102.0

23

83

103.0

25

105

107.0

23

119

Confidence for CPR performance

4.0

3

6

4.0

3

6

4.0

2

6

Confidence in an emergency situation

3.0

3

6

3.0

3

6

3.0

3

6

 

Achieved

N

 

Achieved

N

 

Achieved

N

 

Correct CD (total/%)

49 (34.5%)

142

 

65 (46.4%)

140

 

37 (27.2%)

136

 

Correct CR (total/%)

62 (43.7%)

142

 

59 (42.1%)

140

 

67 (49.3%)

136

 
 

Control

Error management

Error avoidance

t1

Md

IQR

NOR

Md

IQR

NOR

Md

IQR

NOR

Ø CD (mm)

49.5

15

34

54.0

10

26

49.0

14

33

Ø CR (1/min)

100.0

21

66

99.0

17

81

101.0

16

94

Confidence for CPR performance

6.0

1

5

6.0

1

4

6.0

1

5

Confidence in an emergency situation

5.0

1

6

5.0

1

5

5.0

1

6

 

Achieved

N

 

Achieved

N

 

Achieved

N

 

Correct CD (total/%)

55 (40.4%)

136

 

88 (63.8%)

138

 

53 (40.5%)

131

 

Correct CR (total/%)

64 (47.1%)

136

 

59 (42.8%)

138

 

60 (45.8%)

131

 

Notes: t0 = pre-training assessment; t1 = post-training assessment; CD = compression depth; CR = compression rate; CPR = cardiopulmonary resuscitation; M = mean; SD = standard deviation; IQR = quartile range; NOR = non-outlier range.

 

 

Equivalence analysis

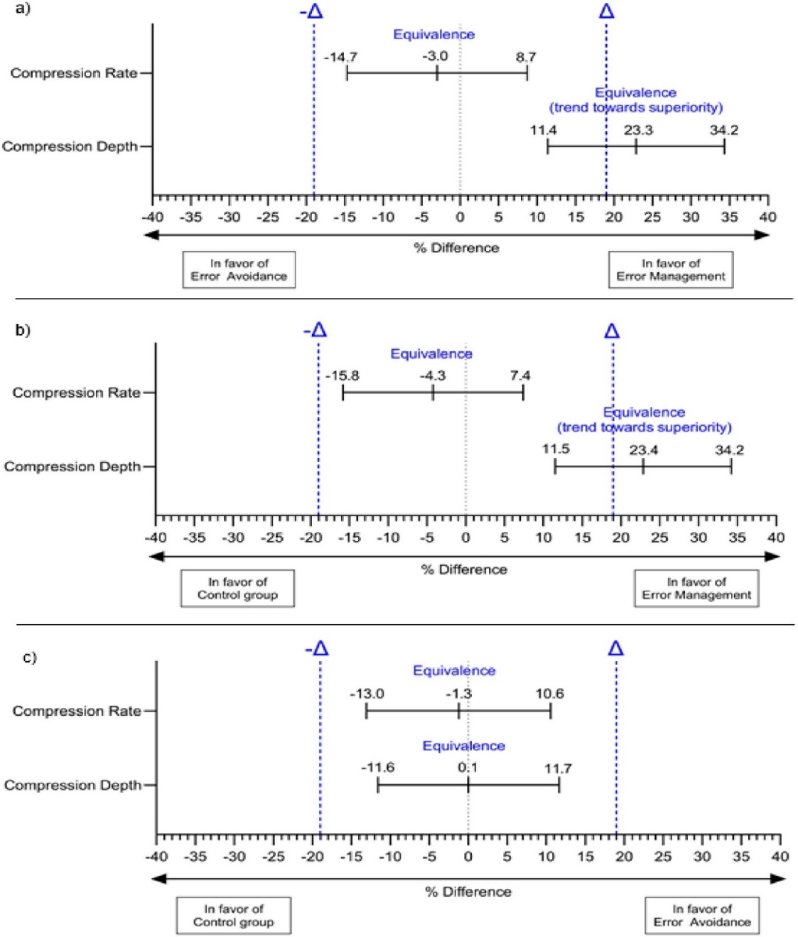
Figure 2 illustrates the outcomes of the equivalence analyses, showing the proportional differences between the EM, EA, and control groups with 95% confidence intervals. The blue lines represent the predefined equivalence thresholds (−Δ and Δ).

 

Figure 2. Equivalence analysis of primary outcomes across error instruction groups (EM, EA, control): panel (a) compares EA with EM, panel (b) compares the control group with EM, and panel (c) compares the control group with EA

 

 

Compression depth (CD)

One week after BLS training (t1), the proportion of participants achieving correct CD was 63.8% in the EM group, 40.5% in the EA group, and 40.4% in the control group. The comparison between EA and EM showed a proportional difference of 23.3 percentage points (95% CI = 11.4% to 34.2%), indicating equivalence, though EM showed a tendency toward higher performance. Comparing EM with the control group revealed a 23.4% difference (95% CI = 11.5% to 34.2%), also demonstrating equivalence with a trend favoring EM. The EA versus control comparison yielded a 0.1pp difference (95% CI = −11.6% to 11.7%), indicating clear equivalence between these groups.

Compression rate (CR)

For CR at t1, correct performance was achieved by 42.8% of participants in the EM group, 45.8% in the EA group, and 47.1% in the control group. The proportional difference between EA and EM was 3.0pp (95% CI = −14.7% to 8.7%), demonstrating significant equivalence. EM versus control resulted in a 4.3pp difference (95% CI = −15.8% to 7.4%), and EA versus control showed a 1.3pp difference (95% CI = −13.0% to 10.6%), both indicating significant equivalence among the groups.

Subjective self-assessment

At t1, mean differences in self-reported confidence between EM and EA were minimal: 0.02 points (95% CI = −0.27 to 0.23) for confidence in performing CPR and 0.01 points (95% CI = −0.30 to 0.26) for confidence in handling an emergency. These results indicate significant equivalence between EM and EA for both measures. Comparisons between EM and the control group showed mean differences of 0.16 points (95% CI = −0.08 to 0.40) for CPR confidence and 0.19 points (95% CI = −0.09 to 0.46) for emergency confidence, again indicating equivalence. Similarly, EA versus control differences were 0.18 points (95% CI = −0.07 to 0.43) for CPR confidence and 0.20 points (95% CI = −0.07 to 0.48) for emergency confidence, confirming significant equivalence. All results are summarized in Table 2 and visualized in Figure 3.

 

 

Figure 3. Equivalence analysis for the secondary outcome parameter across different error-handling instructions (i.e., EM, EA, control): (a) shows the equivalence analysis comparing EA with EM, (b) presents the equivalence analysis of the control group versus EM, and (c) illustrates the equivalence analysis of the control group versus EA

 

 

Discussion

The influence of varying error-handling approaches, such as EM and EA, on medical performance outcomes in learning contexts has received limited attention. In this study, we assessed whether EM and EA instructions were equivalent in terms of CPR performance within medical education. Our findings demonstrate equivalence, with a tendency favoring EM over EA and the control group regarding compression depth (CD). This challenges the notion that encouraging learners to embrace errors inherently increases the likelihood of mistakes. Instead, our results suggest that in medical education, explicitly promoting experimentation and error-making yields performance comparable to instructing learners to avoid errors or providing no specific error guidance. One potential explanation is that EM fosters exploration, helping learners better understand the correct CD [21].

Additionally, EM may cultivate a psychologically safe learning environment, where learners can perform without fear of judgment or negative consequences [59]. This sense of safety may have allowed participants to perform CPR more confidently, reducing errors and enhancing outcomes. Conversely, limited psychological safety in the EA and control groups could have hindered performance [60]. Nevertheless, some observed effects might also reflect baseline performance differences between groups, which could have introduced bias.

Our analysis also indicates significant equivalence between the EA and control groups in terms of CD. This finding is noteworthy, as it implies that giving no instructions or instructing strict error avoidance produces similar outcomes. While prioritizing error avoidance is generally thought to enhance patient safety [1, 61], our results suggest that in medical simulation settings—where patient risk is absent—omitting such instructions may yield comparable results. This raises questions about the utility of EA instructions in medical education and prompts reconsideration of conventional practices in clinical care, which emphasize minimizing errors to ensure patient safety [1, 14–16]. Future studies could explore combining EM and EA strategies to leverage the benefits of both approaches.

Regarding compression rate (CR), our findings reveal significant equivalence across all study groups (EA, EM, control). This suggests that whether learners were instructed to avoid errors (EA), encouraged to experiment (EM), or received no guidance (control), CR performance remained similar. This may be because maintaining a specific rhythm is more straightforward than achieving the correct CD, which is affected by multiple factors, including hand placement [62] and the rescuer’s body weight [63]. Hafner et al. [64] demonstrated that using a song as a metronome is an effective, easy-to-implement approach for training individuals to maintain an appropriate CR during CPR. Given that CD is influenced by numerous variables, such as hand positioning and body mechanics [62], we contend that achieving the correct CD poses greater challenges than sustaining an accurate CR.

Additionally, the analysis of self-confidence in providing CPR and managing a non-responsive individual during an emergency revealed significant equivalence across all study groups (EA, EM, control). This indicates that whether participants were given specific error-related instructions or no instruction at all, their confidence in performing CPR or handling emergencies was similar. Although it was initially hypothesized that EA instructions might reduce psychological safety and negatively influence CD performance [60], this effect does not appear to manifest in self-confidence ratings. Nevertheless, further research is warranted to explore the relationship between error-handling strategies and psychological safety in more detail.

In summary, incorporating safety management and addressing the role of errors are crucial considerations in medical education. This study represents an initial step toward explicitly demonstrating the equivalence of different error-framing instructions in practical clinical skills training, such as BLS, and exploring effective approaches to fostering a positive error culture early in medical education.

Limitations

To our knowledge, this is the first investigation examining the effects of error framing in a three-arm study design focusing specifically on CPR skills. However, several limitations should be considered when interpreting the results. Since the study was conducted within a medical education context, findings may not be generalizable to actual clinical practice or to other medical procedures. Future research should assess whether similar outcomes occur outside of simulation settings and across different clinical skills. The study does not provide insights into the long-term impacts of specific error-framing instructions.

Furthermore, the brief intervention in our study did not track participants’ engagement with or attention to the instructions, raising questions about the necessary duration and frequency of instruction to establish a sustainable error culture. Future studies should clarify the threshold at which different error instructions achieve equivalence. The instructions employed were adapted from prior research but had not been formally validated, which should be considered when interpreting the findings. Another limitation involves the demographic and subjective safety measures included in the questionnaire, which were assessed only for face validity. Finally, this study focused solely on how error instructions influenced CPR performance. Future investigations could examine how feedback, tailored according to the respective error-framing instructions, affects CPR outcomes.

Conclusion

Error management and cultivating a culture of safety are essential in both medical practice and education. Our findings indicate that different approaches to framing errors (EM and EA) result in comparable CPR performance. While EM shows a tendency toward improved CD performance, it remains statistically equivalent to EA in terms of CR and self-reported confidence. Considering prior evidence of EM’s long-term benefits for patient safety and its equivalence to EA in short-term performance, EM represents a promising strategy for medical education. These results have implications for how error culture is promoted in medical training and practice, highlighting the need for further exploration of methods to integrate the role of errors effectively.

Acknowledgments: None.

Conflict of interest: None.

Financial support: None.

Ethics statement: None.

References
  1. Institute of Medicine (US) Committee on Quality of Health Care in America. To err is human: building a safer health system. Washington (DC): National Academy Press (US); 2000.
  2. Reason J. Understanding adverse events: human factors. Qual Health Care. 1995;4(2):80–9.
  3. Frese M, Keith N. Action errors, error management, and learning in organizations. Annu Rev Psychol. 2015;66:661–87.
  4. Donchin Y, Gopher D, Olin M, Badihi Y, Biesky M, Sprung CL, et al. A look into the nature and causes of human errors in the intensive care unit. Crit Care Med. 1995;23(2):294-300. doi: 10.1097/00003246-199502000-00015. PMID: 7867355.
  5. Heimbeck D, Frese M, Sonnentag S, Keith N. Integrating errors into the training process: the function of error management instructions and the role of goal orientation. Pers Psychol. 2003;56(2):333–61.
  6. Hollnagel E. Safety-I and safety-II: the past and future of safety management. Boca Raton: CRC Press; 2014.
  7. Goodman GR. A fragmented patient safety concept: the structure and culture of safety management in healthcare. Hosp Top. 2003;81(2):22–9.
  8. Barrett G. Management’s impact on behavioral safety. Safety Manag. 2000;45:26–8.
  9. Seiden SC, Galvan C, Lamm R. Role of medical students in preventing patient harm and enhancing patient safety. Qual Saf Health Care. 2006;15(4):272–6.
  10. Darosa DA, Pugh CM. Error training: missing link in surgical education. Surgery. 2012;151(2):139–45.
  11. Statista. Anzahl Medizinstudenten in Deutschland 1998–2021. [cited 2023 Feb 6]. Available from: https://de.statista.com/statistik/daten/studie/6706/umfrage/entwicklung-der-anzahl-der-medizinstudenten/.
  12. Schmidt M, Lambert SI, Klasen M, Sandmeyer B, Lazarovici M, Jahns F, et al. Safety management in times of crisis: Lessons learned from a nationwide status-analysis on German intensive care units during the COVID-19 pandemic. Front Med (Lausanne). 2022;9:988746. doi: 10.3389/fmed.2022.988746. PMID: 36275792; PMCID: PMC9583873.
  13. Frese M. Error management in training: conceptual and empirical results. In: Zucchermaglio C, Bagnara S, Stucky SU, editors. Organizational learning and technological change. Berlin: Springer; 1995. p. 112–24.
  14. Meritet D, Townsend KL, Gorman E, Chappell P, Kelly L, Russell DS. Investigating the Effects of Error Management Training versus Error Avoidance Training on the Performance of Veterinary Students Learning to Tie Surgical Knots. J Vet Med Educ. 2021 Apr;48(2):228-38. doi: 10.3138/jvme.2019-0012. Epub 2020 Mar 9. PMID: 32149586.
  15. Schenkel S. Promoting patient safety and preventing medical error in emergency departments. Acad Emerg Med. 2000;7(11):1204–22.
  16. Selbst SM, Levine S, Mull C, Bradford K, Friedman M. Preventing medical errors in pediatric emergency medicine. Pediatr Emerg Care. 2004;20(10):702-9. doi: 10.1097/01.pec.0000142958.42125.74. PMID: 15454749.
  17. Keith N, Frese M. Effectiveness of error management training: a meta-analysis. J Appl Psychol. 2008;93(1):59–69.
  18. Frese M, Brodbeck F, Heinbokel T, Mooser C. Errors in training computer skills: on the positive function of errors. Hum Comput Interact. 1991;6(1):77–93.
  19. Reason J. Human error: models and management. BMJ. 2000;320(7237):768–70.
  20. Edmondson AC, Verdin PJ. The strategic imperative of psychological safety and organizational error management. In: Hagen J, editor. How could this happen?: managing errors in organizations. Cham: Palgrave Macmillan; 2018. p. 81–104.
  21. van Dyck C, Frese M, Baer M, Sonnentag S. Organizational error management culture and its impact on performance: a two-study replication. J Appl Psychol. 2005;90(6):1228-40. doi: 10.1037/0021-9010.90.6.1228. PMID: 16316276.
  22. Varpio L, Paradis E, Uijtdehaage S, Young M. The Distinctions Between Theory, Theoretical Framework, and Conceptual Framework. Acad Med. 2020 Jul;95(7):989-94. doi: 10.1097/ACM.0000000000003075. PMID: 31725464.
  23. Atkinson JW. Motivational determinants of risk-taking behavior. Psychol Rev. 1957;64(6):359–72.
  24. Lindenberg S, Steg L. Goal-framing theory and norm-guided environmental behavior. In: van Trijp H, editor. Encouraging sustainable behavior. New York: Psychology Press; 2013. p. 37–54.
  25. Nordstrom CR, Wendland D, Williams KB. To err is human: an examination of the effectiveness of error management training. J Bus Psychol. 1998;12:269–82.
  26. Dimitrova NG, van Dyck C, van Hooft EAJ, Groenewegen P. Don’t fuss, focus: the mediating effect of on-task thoughts on the relationship between error approach instructions and task performance. Appl Psychol. 2015;64(3):599–624.
  27. Dormann T, Frese M. Error training: replication and the function of exploratory behavior. Int J Hum Comput Interact. 1994;6(4):365–72.
  28. Dyre L, Tabor A, Ringsted C, Tolsgaard MG. Imperfect practice makes perfect: error management training improves transfer of learning. Med Educ. 2017;51(2):196-206. doi: 10.1111/medu.13208. Epub 2016 Dec 12. PMID: 27943372.
  29. Gully SM, Payne SC, Kiechel Koles KL, Whiteman JA. The impact of error training and individual differences on training outcomes: an attribute-treatment interaction perspective. J Appl Psychol. 2002 Feb;87(1):143-55. doi: 10.1037/0021-9010.87.1.143. PMID: 11924540.
  30. Skinner BF. Review lecture: the technology of teaching. Prog Nucl Energy Biol Sci. 1965;162:427–43.
  31. Gardner A, Rich M. Error management training and simulation education. Clin Teach. 2014;11(7):537–40.
  32. Gräsner JT, Herlitz J, Tjelmeland IBM, Wnent J, Masterson S, Lilja G, et al. European Resuscitation Council Guidelines 2021: Epidemiology of cardiac arrest in Europe. Resuscitation. 2021;161:61-79. doi: 10.1016/j.resuscitation.2021.02.007. Epub 2021 Mar 24. PMID: 33773833.
  33. Wong CX, Brown A, Lau DH, Chugh SS, Albert CM, Kalman JM, et al. Epidemiology of Sudden Cardiac Death: Global and Regional Perspectives. Heart Lung Circ. 2019;28(1):6-14. doi: 10.1016/j.hlc.2018.08.026. PMID: 30482683.
  34. Owen A, Kocierz L, Aggarwal N, Hulme J. Comparison of the errors in basic life support performance after training using the 2000 and 2005 ERC guidelines. Resuscitation. 2010;81(6):766-8. doi: 10.1016/j.resuscitation.2010.02.012. Epub 2010 Mar 29. PMID: 20347205.
  35. Ornato JP, Peberdy MA, Reid RD, Feeser VR, Dhindsa HS; NRCPR Investigators. Impact of resuscitation system errors on survival from in-hospital cardiac arrest. Resuscitation. 2012 Jan;83(1):63-9. doi: 10.1016/j.resuscitation.2011.09.009. PMID: 21963583.
  36. Liberman M, Lavoie A, Mulder D, Sampalis J. Cardiopulmonary resuscitation: errors made by pre-hospital emergency medical personnel. Resuscitation. 1999;42(1):47-55. doi: 10.1016/s0300-9572(99)00082-9. PMID: 10524730.
  37. Panesar SS, Ignatowicz AM, Donaldson LJ. Errors in the management of cardiac arrests: an observational study of patient safety incidents in England. Resuscitation. 2014;85(12):1759–63.
  38. Reed-Schrader E, Rivers WT, White LJ, Clemency BM. Cardiopulmonary Resuscitation Quality Issues. Cardiol Clin. 2018;36(3):351-6. doi: 10.1016/j.ccl.2018.03.002. PMID: 30293601.
  39. Ruiz de Gauna S, González-Otero DM, Ruiz J, Russell JK. Feedback on the Rate and Depth of Chest Compressions during Cardiopulmonary Resuscitation Using Only Accelerometers. PLoS One. 2016;11(3):e0150139. doi: 10.1371/journal.pone.0150139. PMID: 26930061; PMCID: PMC4773040.
  40. Krasteva V, Jekova I, Didon JP. An audiovisual feedback device for compression depth, rate and complete chest recoil can improve the CPR performance of lay persons during self-training on a manikin. Physiol Meas. 2011;32(6):687–99.
  41. Ødegaard S, Kramer-Johansen J, Bromley A, Myklebust H, Nysaether J, Wik L, Steen PA. Chest compressions by ambulance personnel on chests with variable stiffness: abilities and attitudes. Resuscitation. 2007;74(1):127-34. doi: 10.1016/j.resuscitation.2006.12.006. PMID: 17368692.
  42. Noordergraaf GJ, Drinkwaard BW, van Berkom PF, van Hemert HP, Venema A, Scheffer GJ, et al. The quality of chest compressions by trained personnel: the effect of feedback, via the CPREzy, in a randomized controlled trial using a manikin model. Resuscitation. 2006;69(2):241-52. doi: 10.1016/j.resuscitation.2005.08.008. Epub 2006 Feb 2. PMID: 16457935.
  43. World Medical Association. World Medical Association declaration of Helsinki: ethical principles for medical research involving human subjects. JAMA. 2013;310(20):2191–4.
  44. Schulz KF, Altman DG, Moher D. CONSORT 2010 statement: updated guidelines for reporting parallel group randomised trials. J Pharmacol Pharmacother. 2010;1(2):100–7.
  45. Juszczak E, Altman DG, Hopewell S, Schulz K. Reporting of Multi-Arm Parallel-Group Randomized Trials: Extension of the CONSORT 2010 Statement. JAMA. 2019 Apr 23;321(16):1610-1620. doi: 10.1001/jama.2019.3087. PMID: 31012939.
  46. Piaggio G, Elbourne DR, Altman DG, Pocock SJ, Evans SJ; CONSORT Group. Reporting of noninferiority and equivalence randomized trials: an extension of the CONSORT statement. JAMA. 2006 Mar 8;295(10):1152-60. doi: 10.1001/jama.295.10.1152. Erratum in: JAMA. 2006 Oct 18;296(15):1842. PMID: 16522836.
  47. Lee SE, Dahinten VS. Psychological safety as a mediator of the relationship between inclusive leadership and nurse voice behaviors and error reporting. J Nurs Scholarsh. 2021;53(6):737–45.
  48. Ebbutt AF, Frith L. Practical issues in equivalence trials. Stat Med. 1998;17(15–6):1691–701.
  49. Klasen M, Sopka S. Demonstrating equivalence and non-inferiority of medical education concepts. Med Educ. 2021;55(4):455–61.
  50. Blackwelder WC. Proving the null hypothesis in clinical trials. Control Clin Trials. 1982;3(4):345–53.
  51. Sealed Envelope Ltd. Power calculator for binary outcome equivalence trial. 2012 [cited 2023 Feb 9]. Available from: https://www.sealedenvelope.com/power/binary-equivalence/.
  52. Peyton J. Teaching in the theatre. In: Peyton J, editor. Teaching and learning in medical practice. Rickmansworth, UK: Manticore Publishing House Europe; 1998. p. 171–80.
  53. Dimitrova NG, van Hooft EAJ, van Dyck C, Groenewegen P. Behind the wheel: What drives the effects of error handling? J Soc Psychol. 2017;157(6):658-672. doi: 10.1080/00224545.2016.1270891. Epub 2016 Dec 14. PMID: 27967717.
  54. Panchal AR, Bartos JA, Cabañas JG, Donnino MW, Drennan IR, Hirsch KG, et al. Part 3: Adult Basic and Advanced Life Support: 2020 American Heart Association Guidelines for Cardiopulmonary Resuscitation and Emergency Cardiovascular Care. Circulation. 2020;142(16_suppl_2):S366-S468. doi: 10.1161/CIR.0000000000000916. Epub 2020 Oct 21. PMID: 33081529.
  55. Newcombe RG. Interval estimation for the difference between independent proportions: comparison of eleven methods. Stat Med. 1998;17(8):873–90.
  56. Sopka S, Biermann H, Rossaint R, et al. Evaluation of a newly developed media-supported 4-step approach for basic life support training. Scand J Trauma Resusc Emerg Med. 2012;20:37.
  57. Schauwinhold MT, Schmidt M, Rudolph JW, Klasen M, Lambert SI, Krusch A, et al. Innovative Tele-Instruction Approach Impacts Basic Life Support Performance: A Non-inferiority Trial. Front Med (Lausanne). 2022;9:825823. doi: 10.3389/fmed.2022.825823. PMID: 35646961; PMCID: PMC9134732.
  58. Sopka S, Biermann H, Rossaint R, Rex S, Jäger M, Skorning M, et al. Resuscitation training in small-group setting--gender matters. Scand J Trauma Resusc Emerg Med. 2013;21:30. doi: 10.1186/1757-7241-21-30. PMID: 23590998; PMCID: PMC3637824.
  59. Tsuei SH, Lee D, Ho C, Regehr G, Nimmon L. Exploring the Construct of Psychological Safety in Medical Education. Acad Med. 2019 Nov;94(11S Association of American Medical Colleges Learn Serve Lead: Proceedings of the 58th Annual Research in Medical Education Sessions):S28-S35. doi: 10.1097/ACM.0000000000002897. PMID: 31365407.
  60. Sanner B, Bunderson JS. Psychological safety, learning, and performance: a comparison of direct and contingent effects. Acad Manag Proc. 2018;2013(1):10198.
  61. Hoffmann B, Rohe J. Patient safety and error management: what causes adverse events and how can they be prevented? Dtsch Arztebl Int. 2010;107(6):92–9.
  62. Jiang C, Jiang S, Zhao Y, Xu B, Zhou XL. Dominant hand position improves the quality of external chest compression: a manikin study based on 2010 CPR guidelines. J Emerg Med. 2015;48(4):436-44. doi: 10.1016/j.jemermed.2014.12.034. Epub 2015 Jan 31. PMID: 25648053.
  63. Oh JH, Kim CW. Relationship between chest compression depth and novice rescuer body weight during cardiopulmonary resuscitation. Am J Emerg Med. 2016;34(12):2411–3.
  64. Hafner JW, Sturgell JL, Matlock DL, Bockewitz EG, Barker LT. "Stayin' alive": a novel mental metronome to maintain compression rates in simulated cardiac arrests. J Emerg Med. 2012;43(5):e373-7. doi: 10.1016/j.jemermed.2012.01.026. Epub 2012 Mar 22. PMID: 22445896.

 

 


How to cite this article
Vancouver
Sa-Couto C, Sa-Couto P, Nicolau A, Lazarovici M, Ericsson C, Vieira-Marques P, et al. Managing Safety in Teaching Clinical Skills: Investigating Framing Errors in Cardiopulmonary Resuscitation Training through a Multi-Arm Randomized Controlled Equivalence Study. Bull Pioneer Res Med Clin Sci. 2025;5(2):18-29. https://doi.org/10.51847/nybbkEFwd7
APA
Sa-Couto, C., Sa-Couto, P., Nicolau, A., Lazarovici, M., Ericsson, C., Vieira-Marques, P., & Bispo, I. (2025). Managing Safety in Teaching Clinical Skills: Investigating Framing Errors in Cardiopulmonary Resuscitation Training through a Multi-Arm Randomized Controlled Equivalence Study. Bulletin of Pioneering Researches of Medical and Clinical Science, 5(2), 18-29. https://doi.org/10.51847/nybbkEFwd7
Related articles:
Most viewed articles:
Issue 1 Volume 6 - 2026